研究生招生



分享到:

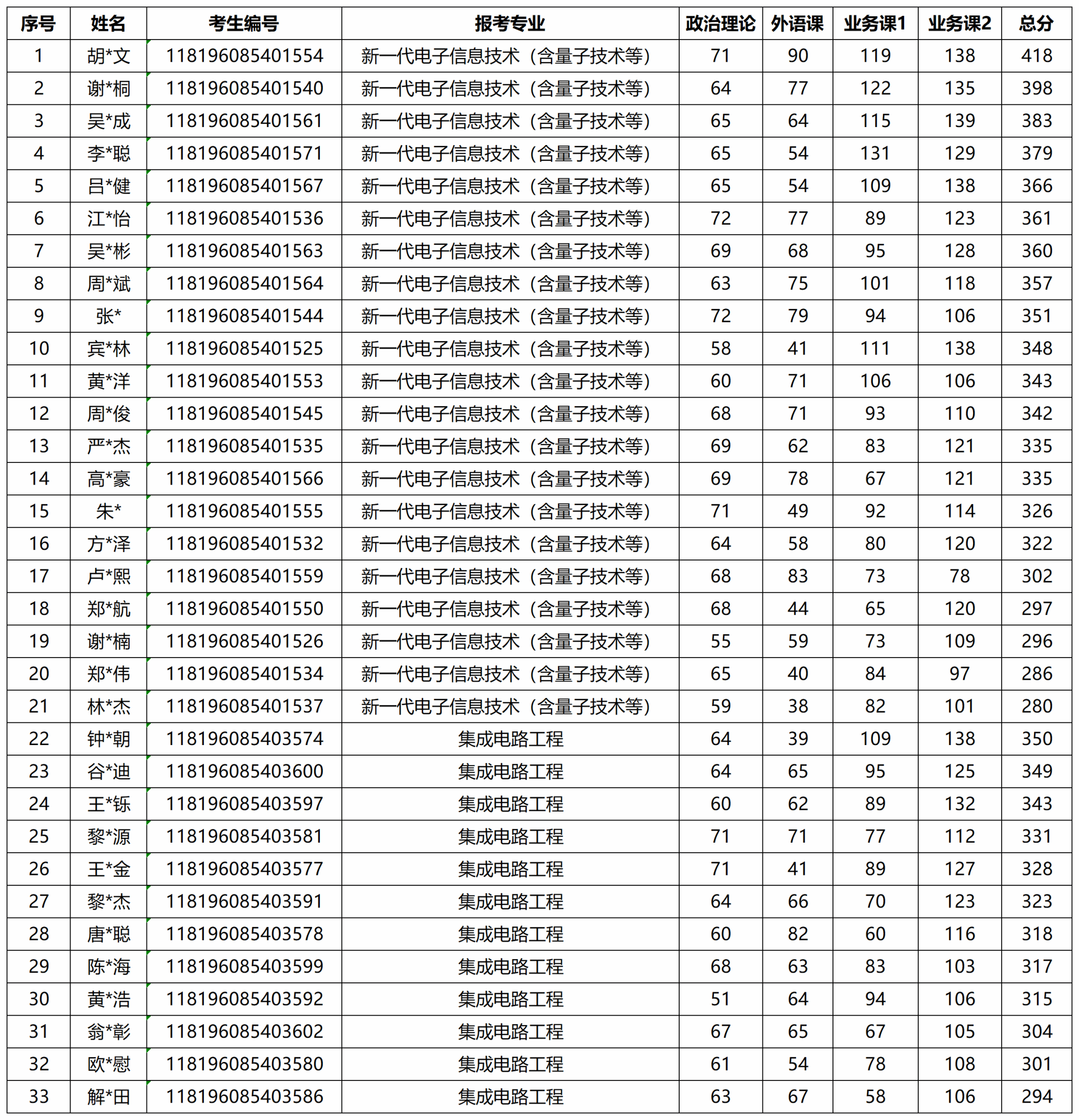
上一篇:yl23411永利集团2026年硕士研究生招生第一志愿考生复试基本分数线

下一篇:yl23411永利集团2026年硕士研究生招生复试录取办法

关闭