yl23411永利集团官网

学校主页
通知公告
东莞市微电子研究院
我的邮箱
联系我们
EN
  • 永利概况

    永利概况

    坚持高起点、高标准和国际化定位,通过与龙头企业深度合作,从人才培养、源头创新、技术研发、成果转化等方面建设国际一流微电子学院。

    学院介绍 现任领导 学院机构 学院动态
  • 师资队伍

    师资队伍

    引育优秀青年博士、高层次人才,深化产教融合与产学研合作,构建一流师资队伍和行政教辅团队。欢迎海内外优秀人才加盟,共创美好未来。

    师资简介 行政教辅 产业教授 人才招聘
  • 人才培养

    人才培养

    秉持“知行合一、立德树人”办学理念,培养具有国际视野、勇于担当、善于学习、敢于超越的高素质创新人才,服务粤港澳大湾区产业需求。

    本科生培养 研究生培养 教学动态 学生风采 实训平台
  • 科学研究

    科学研究

    与 OPPO、华为、松山湖材料实验室等深度合作,建设国际一流研究平台,聚焦学科前沿,强化交叉融合,助力东莞“科技创新+先进制造”战略目标。

    科研概况 科研平台 学科团队 科研动态
  • 招生就业

    招生就业

    展示我院招生就业工作的动态,发布招生与就业信息,落实最新政策文件精神。

    本科招生 研究生招生 就业动态 就业政策
  • 永利集团

    学生工作

    凝炼学生工作特色,以生为本,立德树人,全方位展示我院学生工作的最新动态和学生成长发展的风采。

    学生活动 学生事务 学科竞赛 下载专区
  • 党群工作

    党群工作

    贯彻习近平新时代中国特色社会主义思想,坚持社会主义办学方向,落实党务组织、纪委监察、工会、团委、宣传工作等党建工作。

    党建工作 理论学习 党员风采 工会工作 校友风采
  • 合作交流

    合作交流

    创新学生联合培养机制,建设产教深度融合的人才培养和产学研创新体系。引进国外名校落地, 与境内外相关高校、研究单位联合培养人才。

    社会服务 产学研合作 国际交流
EN
学校主页
通知公告
东莞市微电子研究院
我的邮箱
联系我们
  • 永利概况

    学院介绍 现任领导 学院机构 学院动态
  • 师资队伍

    师资简介 行政教辅 产业教授 人才招聘
  • 人才培养

    本科生培养 研究生培养 教学动态 学生风采 实训平台
  • 科学研究

    科研概况 科研平台 学科团队 科研动态
  • 招生就业

    本科招生 研究生招生 就业动态 就业政策
  • 永利集团

    学生活动 学生事务 学科竞赛 下载专区
  • 党群工作

    党建工作 理论学习 党员风采 工会工作 校友风采
  • 合作交流

    社会服务 产学研合作 国际交流
×

研究生招生

  • 本科招生
  • 研究生招生
  • 就业动态
  • 就业政策

招生就业

  • 本科招生
  • 研究生招生
  • 就业动态
  • 就业政策

研究生招生

首页 > 招生就业 > 研究生招生 > 正文

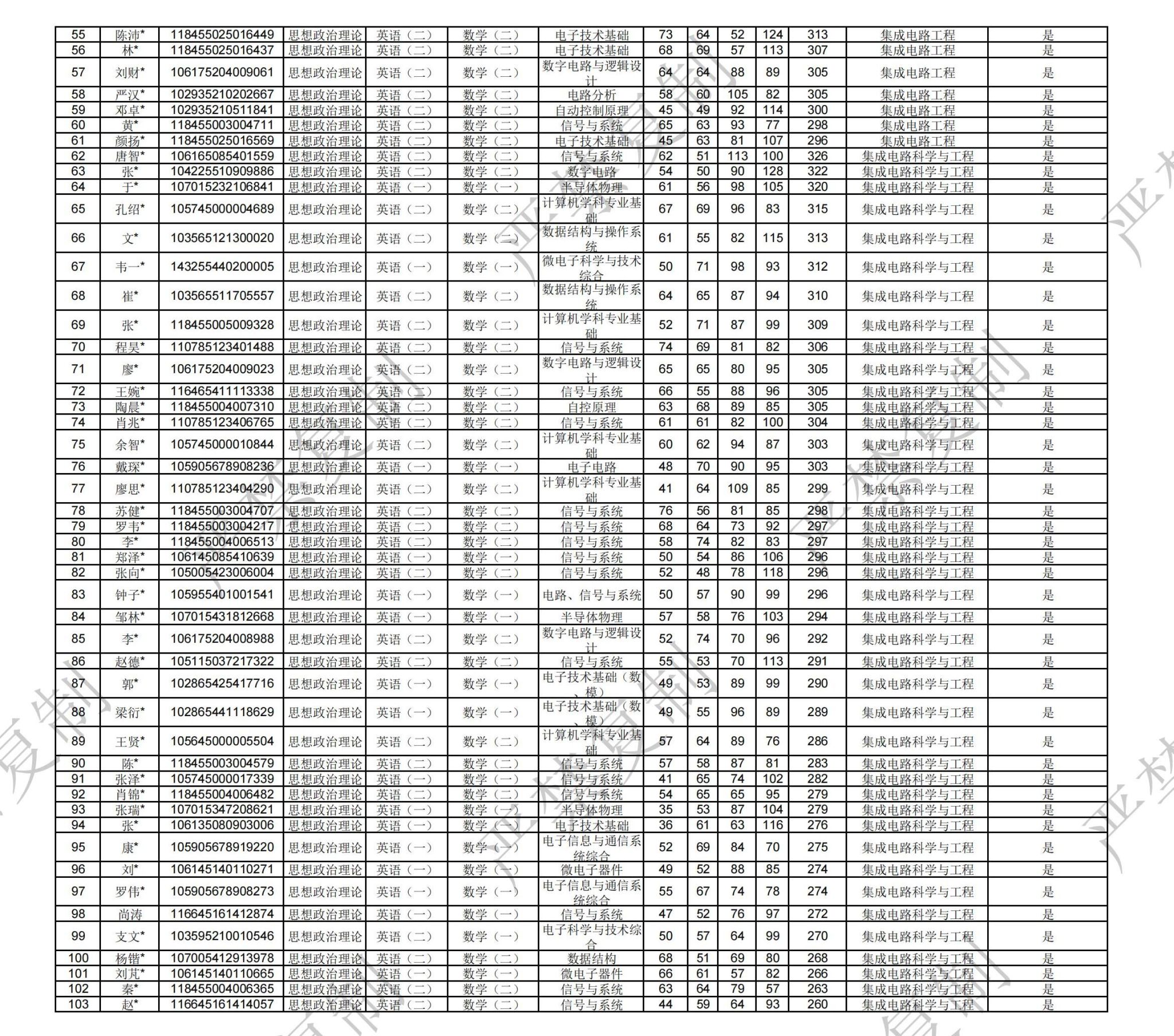
yl23411永利集团国际微电子学院2025年硕士研究生招生考试复试名单(调剂考生)

时间:2025-04-09 点击数: 来源:



 yl23411永利集团国际微电子学院2025年硕士研究生招生考试复试名单(调剂考生).pdf   

  • 附件【yl23411永利集团国际微电子学院2025年硕士研究生招生考试复试名单(调剂考生).pdf】已下载次

分享到:

上一篇:yl23411永利集团国际微电子学院2025年硕士研究生招生复试结果(调剂考生)

下一篇:yl23411永利集团国际微电子学院2025年硕士研究生招生考试复试工作安排(调剂考生)

【关闭】

相关链接:
教务部
就业服务中心
研究生院
图书馆
招生办公室
教学质量监测与评估中心
清华大学永利yl23411

北京大学永利yl23411
复旦大学微电子学院

yl23411永利集团 Copyright©中国·yl23411(永利|MACAU)集团官网-Officialwebsite 版权所有 School of Integrated Circuits,Dongguan University of Technology All Rights Reserved. 粤ICP备5008829号

地址:广东省东莞市松山湖区大学路1号   电话:0769-22863806   邮 编:523808 

  • 微信公众号